North Carolina births
In 2004, the state of North Carolina released a large data set containing information on births recorded in this state. This data set is useful to researchers studying the relation between habits and practices of expectant mothers and the birth of their children. We will work with a random sample of observations from this data set.
In R
download.file('http://www.openintro.org/stat/data/nc.RData', destfile = 'nc.RData')
load('nc.RData')In Python
import pandas as pd
data = pd.read_csv('http://photo.etangkk.com/python/NCbirths.txt', sep='\t')Scatterplot is a good visual picture to identify potential associations between two numerical variables and aids the interpretation of the correlation coefficient or regression model.
In R
plot(x=nc$weeks, y=nc$weight, type="p", main="Weeks of pregnancy vs baby weigh at birth", xlab="Length of pregnancy in weeks", ylab="Weight of the baby at birth in pounds")library(ggplot2)
ggplot(nc, aes(x=weeks, y=weight)) + geom_point() + labs(title="Weeks of pregnancy vs baby weigh at birth", x="Length of pregnancy in weeks", y="Weight of the baby at birth in pounds")In Python
import matplotlib.pyplot as plt
ax = data.plot(kind='scatter', x='weeks', y='weight')
ax.set_title('Weeks of pregnancy vs baby weight')
ax.set_xlabel('Length of pregnancy in weeks')
ax.set_ylabel('Weight of the baby at birth in pounds')
Contingency table is a useful tool for examining relationships between categorical cariables, the number displayed give the frequency count of each data point. The number of smoker, nonsmoker, low and not low individuals are called marginal totals, the grand total is the number in the bottom right corner.
In R
table(nc$lowbirthweight, nc$habit, exclude=NULL)##
## nonsmoker smoker <NA>
## low 92 18 1
## not low 781 108 0
## <NA> 0 0 0
The entires in the cells can also display the relative frequencies. We use the CrossTable function from the gmodels library to print a nice table showing the frequency count, row proportion and column proportion.
library(gmodels)## Warning: package 'gmodels' was built under R version 3.2.3
ctab <- CrossTable(nc$lowbirthweight, nc$habit, prop.t=FALSE, prop.chisq=FALSE)##
##
## Cell Contents
## |-------------------------|
## | N |
## | N / Row Total |
## | N / Col Total |
## |-------------------------|
##
##
## Total Observations in Table: 999
##
##
## | nc$habit
## nc$lowbirthweight | nonsmoker | smoker | Row Total |
## ------------------|-----------|-----------|-----------|
## low | 92 | 18 | 110 |
## | 0.836 | 0.164 | 0.110 |
## | 0.105 | 0.143 | |
## ------------------|-----------|-----------|-----------|
## not low | 781 | 108 | 889 |
## | 0.879 | 0.121 | 0.890 |
## | 0.895 | 0.857 | |
## ------------------|-----------|-----------|-----------|
## Column Total | 873 | 126 | 999 |
## | 0.874 | 0.126 | |
## ------------------|-----------|-----------|-----------|
##
##
In Python
print pd.crosstab(data.lowbirthweight, data.habit, margins=True) ## habit nonsmoker smoker All
## lowbirthweight
## low 92 18 111
## not low 781 108 889
## All 873 126 1000
The margin sum for low birth weight is 92 + 18 = 110 but the table above is showing 111. Turnout pandas.crosstab dropna parameter only drops columns if their entries are ALL NaN. In our dataset habit contains one NaN value so it just mysteriously disappeared, I’ve hardcoded NaN to string ‘NaN’ to make margin sum and grand total consistent.
print pd.crosstab(data.lowbirthweight, data.habit.replace(np.nan, 'NaN'), margins=True) ## habit NaN nonsmoker smoker All
## lowbirthweight
## low 1 92 18 111
## not low 0 781 108 889
## All 1 873 126 1000
Relative frequencies by row (lowbirthweight)
print pd.crosstab(data.lowbirthweight, data.habit).apply(lambda x: x/x.sum(), axis=1) ## habit nonsmoker smoker
## lowbirthweight
## low 0.836364 0.163636
## not low 0.878515 0.121485
Relative frequencies by column (habit)
print pd.crosstab(data.lowbirthweight, data.habit).apply(lambda x: x/x.sum(), axis=0) ## habit nonsmoker smoker
## lowbirthweight
## low 0.105384 0.142857
## not low 0.894616 0.857143
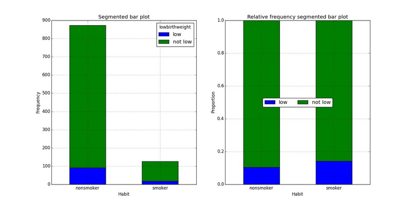
Segmented or stacked bar plot is useful for visualizing conditional frequency distributions; it explores the relationship between the categorical variables when compares their relative frequencies.
In R
par(mfrow=c(1, 3))
ctable <- table(nc$lowbirthweight, nc$habit)
barplot(ctable, main="Segmented bar plot", xlab='habit', ylab='Frequency', col=c("blue", "orange"), legend=rownames(ctable))
barplot(ctable, main="Segmented bar plot", xlab='habit', ylab='Frequency', col=c("blue", "orange"), legend=rownames(ctable), beside=TRUE)
barplot(ctab$prop.col, main="Relative frequency segmented bar plot", xlab='habit', ylab='Proportion', col=c("blue", "orange"), legend=rownames(ctable))p1 <- ggplot(nc[!is.na(nc$habit), ], aes(x=habit, fill=lowbirthweight)) + geom_bar() + labs(title="Segmented bar plot", x='habit', y='Count')
p2 <- ggplot(nc[!is.na(nc$habit), ], aes(x=habit, fill=lowbirthweight)) + geom_bar(position="dodge") + labs(title="Segmented bar plot", x='habit', y='Count')
p3 <- ggplot(nc[!is.na(nc$habit), ], aes(x=habit, fill=lowbirthweight)) + geom_bar(position="fill") + labs(title="Relative frequency segmented bar plot", x='habit', y='Proportion')
library(gridExtra)
grid.arrange(p1, p2, p3, ncol=3, nrow=1)In Python
ctable = pd.crosstab(data.habit, data.lowbirthweight)
ctab = pd.crosstab(data.habit, data.lowbirthweight).apply(lambda x: x/x.sum(), axis=1)
fig, axes = plt.subplots(nrows=1, ncols=2, figsize=(16,8))
ctable.plot(ax=axes[0], kind='bar', stacked=True, title='Segmented bar plot')
axes[0].set_xlabel('Habit')
axes[0].set_ylabel('Frequency')
axes[0].set_xticklabels(ctable.index, rotation=0)
ctab.plot(ax=axes[1], kind='bar', stacked=True, title='Relative frequency segmented bar plot')
axes[1].set_xlabel('Habit')
axes[1].set_ylabel('Proportion')
axes[1].legend(loc='center', ncol=4, fancybox=True, shadow=False)
axes[1].set_xticklabels(ctable.index, rotation=0) 
Mosaic plot is a square graph which allows easy examination of the relationship among two or more categorical variables.
In R
library(vcd)
mosaic(~ habit + lowbirthweight + gender, data=nc, color=TRUE, legend=FALSE)In Python
from statsmodels.graphics import mosaicplot
ax = mosaicplot.mosaic(data, ['lowbirthweight', 'habit', 'gender']) 
Stacked histograms and density plot are use to compare distribution of continuous variable for different groups.
In R
par(mfrow=c(1,2))
hist(nc[nc$habit=="nonsmoker", 'weight'], col='skyblue', main="Historgram of weight by habit")
hist(nc[nc$habit=="smoker", 'weight'], add=T, col=scales::alpha('red', .5))
plot(density(nc[nc$habit=="nonsmoker", 'weight'], na.rm=TRUE), col="red", main='Density of weight by habit', xlab='Weight')
lines(density(nc[nc$habit=="smoker", 'weight'], na.rm=TRUE), col="blue")p1 <- ggplot(nc[!is.na(nc$habit), ], aes(x=weight, fill=habit)) + geom_histogram(binwidth=1) + labs(title="Stacking histogram", x='weight', y='Count')
p2 <- ggplot(nc[!is.na(nc$habit), ], aes(x=weight)) + geom_histogram(binwidth=1) + facet_grid(habit ~ .) + labs(title="Stacking histogram", x='weight', y='Count')
p3 <- ggplot(nc[!is.na(nc$habit), ], aes(x=weight, color=habit)) + geom_density() + labs(x='weight', y='habit')
library(gridExtra)
grid.arrange(p1, p2, p3, ncol=3, nrow=1)A side-by-side box plots are useful in comparing fundamental information (outliers, median, and interquartile range IQR) among the factors in categorical variable.
In R
boxplot(weight~habit, data=nc, col=c("orange","yellow"), xlab='Status of mother as nonsmoker or a smoker', ylab='Weight of the baby at birth in pounds', horizontal=FALSE)ggplot(nc[!is.na(nc$habit), ], aes(x=habit, y=weight)) + geom_boxplot() + labs(x='Status of mother as nonsmoker or a smoker', y='Weight of the baby at birth in pounds') + coord_flip()In Python
ax = data.boxplot(column=['weight'], by=['habit'])
ax.set_xlabel('Status of mother as nonsmoker or a smoker')
ax.set_ylabel('Weight of the baby at birth in pounds')